Running SCALAR on human cortex snRNA-seq data for ligand-receptor interaction analysis#

Load basic settings#

Import PIASO#

[1]:
import piaso
/n/data1/hms/neurobio/fishell/mindai/.conda/envs/nca/lib/python3.10/site-packages/tqdm/auto.py:21: TqdmWarning: IProgress not found. Please update jupyter and ipywidgets. See https://ipywidgets.readthedocs.io/en/stable/user_install.html
  from .autonotebook import tqdm as notebook_tqdm
[2]:
import numpy as np
import pandas as pd
import scanpy as sc
sc.set_figure_params(dpi=80,dpi_save=300, color_map='viridis',facecolor='white')
from matplotlib import rcParams
# To modify the default figure size, use rcParams.
rcParams['figure.figsize'] = 4, 4
rcParams['font.sans-serif'] = "Arial"
rcParams['font.family'] = "Arial"
sc.settings.verbosity = 3
sc.logging.print_header()
/tmp/ipykernel_4124333/1353975569.py:11: RuntimeWarning: Failed to import dependencies for application/vnd.jupyter.widget-view+json representation. (ModuleNotFoundError: No module named 'ipywidgets')
  sc.logging.print_header()
[2]:
ComponentInfo
Python3.10.19 (main, Oct 21 2025, 16:43:05) [GCC 11.2.0]
OSLinux-5.14.0-570.23.1.el9_6.x86_64-x86_64-with-glibc2.34
CPU32 logical CPU cores, x86_64
GPUNo GPU found
Updated2026-01-20 18:33
Dependencies
DependencyVersion
natsort8.4.0
python-dateutil2.9.0.post0
tornado6.5.4
llvmlite0.46.0
networkx3.4.2
kiwisolver1.4.9
texttable1.7.0
six1.17.0
h5py3.15.1
setuptools80.9.0
prompt_toolkit3.0.52
charset-normalizer3.4.4
patsy1.0.2
pure_eval0.2.3
asttokens3.0.0
cycler0.12.1
jedi0.19.2
tqdm4.67.1
executing2.2.1
joblib1.5.3
parso0.8.5
igraph0.11.9
pytz2025.2
torch2.9.1 (2.9.1+cu128)
leidenalg0.10.2
numba0.63.1
decorator5.2.1
statsmodels0.14.6
psutil7.0.0
pillow12.0.0
debugpy1.8.16
stack_data0.6.3
ipython8.30.0
wcwidth0.2.13
Copyable Markdown
| Dependency         | Version             |
| ------------------ | ------------------- |
| natsort            | 8.4.0               |
| python-dateutil    | 2.9.0.post0         |
| tornado            | 6.5.4               |
| llvmlite           | 0.46.0              |
| networkx           | 3.4.2               |
| kiwisolver         | 1.4.9               |
| texttable          | 1.7.0               |
| six                | 1.17.0              |
| h5py               | 3.15.1              |
| setuptools         | 80.9.0              |
| prompt_toolkit     | 3.0.52              |
| charset-normalizer | 3.4.4               |
| patsy              | 1.0.2               |
| pure_eval          | 0.2.3               |
| asttokens          | 3.0.0               |
| cycler             | 0.12.1              |
| jedi               | 0.19.2              |
| tqdm               | 4.67.1              |
| executing          | 2.2.1               |
| joblib             | 1.5.3               |
| parso              | 0.8.5               |
| igraph             | 0.11.9              |
| pytz               | 2025.2              |
| torch              | 2.9.1 (2.9.1+cu128) |
| leidenalg          | 0.10.2              |
| numba              | 0.63.1              |
| decorator          | 5.2.1               |
| statsmodels        | 0.14.6              |
| psutil             | 7.0.0               |
| pillow             | 12.0.0              |
| debugpy            | 1.8.16              |
| stack_data         | 0.6.3               |
| ipython            | 8.30.0              |
| wcwidth            | 0.2.13              |

| Component | Info                                                     |
| --------- | -------------------------------------------------------- |
| Python    | 3.10.19 (main, Oct 21 2025, 16:43:05) [GCC 11.2.0]       |
| OS        | Linux-5.14.0-570.23.1.el9_6.x86_64-x86_64-with-glibc2.34 |
| CPU       | 32 logical CPU cores, x86_64                             |
| GPU       | No GPU found                                             |
| Updated   | 2026-01-20 18:33                                         |

Setting paths#

[3]:
save_dir='/n/scratch/users/m/mid166/Result/single-cell/Methods/PIASO'
sc.settings.figdir = save_dir
prefix='SEAAD_SCALAR_CCI_tutorial'
import os
if not os.path.exists(save_dir):
    os.makedirs(save_dir)

sc.set_figure_params(dpi=80,dpi_save=300, color_map='viridis',facecolor='white')
rcParams['figure.figsize'] = 4, 4

Load the data#

The 20k subsampled snRNA-seq data from Allen SEA-AD project is available in google drive: https://drive.google.com/file/d/1nH-CRaTQFxJ5pAVpy8_hUQn1nrIcakq2/view?usp=drive_link.

The original data is available in https://portal.brain-map.org/explore/seattle-alzheimers-disease.

mkdir -p /n/scratch/users/m/mid166/Result/single-cell/Enhancer/SEA-AD/
cd /n/scratch/users/m/mid166/Result/single-cell/Enhancer/SEA-AD/
gdrive files download 1nH-CRaTQFxJ5pAVpy8_hUQn1nrIcakq2
[4]:
adata=sc.read('/n/scratch/users/m/mid166/Result/single-cell/Enhancer/SEA-AD/SEA-AD_RNA_MTG_subsample_excludeReference_20k_piaso.h5ad')
[5]:
adata
[5]:
AnnData object with n_obs × n_vars = 20000 × 36601
    obs: 'sample_id', 'Neurotypical reference', 'Donor ID', 'Organism', 'Brain Region', 'Sex', 'Gender', 'Age at Death', 'Race (choice=White)', 'Race (choice=Black/ African American)', 'Race (choice=Asian)', 'Race (choice=American Indian/ Alaska Native)', 'Race (choice=Native Hawaiian or Pacific Islander)', 'Race (choice=Unknown or unreported)', 'Race (choice=Other)', 'specify other race', 'Hispanic/Latino', 'Highest level of education', 'Years of education', 'PMI', 'Fresh Brain Weight', 'Brain pH', 'Overall AD neuropathological Change', 'Thal', 'Braak', 'CERAD score', 'Overall CAA Score', 'Highest Lewy Body Disease', 'Total Microinfarcts (not observed grossly)', 'Total microinfarcts in screening sections', 'Atherosclerosis', 'Arteriolosclerosis', 'LATE', 'Cognitive Status', 'Last CASI Score', 'Interval from last CASI in months', 'Last MMSE Score', 'Interval from last MMSE in months', 'Last MOCA Score', 'Interval from last MOCA in months', 'APOE Genotype', 'Primary Study Name', 'Secondary Study Name', 'NeuN positive fraction on FANS', 'RIN', 'cell_prep_type', 'facs_population_plan', 'rna_amplification', 'sample_name', 'sample_quantity_count', 'expc_cell_capture', 'method', 'pcr_cycles', 'percent_cdna_longer_than_400bp', 'rna_amplification_pass_fail', 'amplified_quantity_ng', 'load_name', 'library_prep', 'library_input_ng', 'r1_index', 'avg_size_bp', 'quantification_fmol', 'library_prep_pass_fail', 'exp_component_vendor_name', 'batch_vendor_name', 'experiment_component_failed', 'alignment', 'Genome', 'ar_id', 'bc', 'GEX_Estimated_number_of_cells', 'GEX_number_of_reads', 'GEX_sequencing_saturation', 'GEX_Mean_raw_reads_per_cell', 'GEX_Q30_bases_in_barcode', 'GEX_Q30_bases_in_read_2', 'GEX_Q30_bases_in_UMI', 'GEX_Percent_duplicates', 'GEX_Q30_bases_in_sample_index_i1', 'GEX_Q30_bases_in_sample_index_i2', 'GEX_Reads_with_TSO', 'GEX_Sequenced_read_pairs', 'GEX_Valid_UMIs', 'GEX_Valid_barcodes', 'GEX_Reads_mapped_to_genome', 'GEX_Reads_mapped_confidently_to_genome', 'GEX_Reads_mapped_confidently_to_intergenic_regions', 'GEX_Reads_mapped_confidently_to_intronic_regions', 'GEX_Reads_mapped_confidently_to_exonic_regions', 'GEX_Reads_mapped_confidently_to_transcriptome', 'GEX_Reads_mapped_antisense_to_gene', 'GEX_Fraction_of_transcriptomic_reads_in_cells', 'GEX_Total_genes_detected', 'GEX_Median_UMI_counts_per_cell', 'GEX_Median_genes_per_cell', 'Multiome_Feature_linkages_detected', 'Multiome_Linked_genes', 'Multiome_Linked_peaks', 'ATAC_Confidently_mapped_read_pairs', 'ATAC_Fraction_of_genome_in_peaks', 'ATAC_Fraction_of_high_quality_fragments_in_cells', 'ATAC_Fraction_of_high_quality_fragments_overlapping_TSS', 'ATAC_Fraction_of_high_quality_fragments_overlapping_peaks', 'ATAC_Fraction_of_transposition_events_in_peaks_in_cells', 'ATAC_Mean_raw_read_pairs_per_cell', 'ATAC_Median_high_quality_fragments_per_cell', 'ATAC_Non-nuclear_read_pairs', 'ATAC_Number_of_peaks', 'ATAC_Percent_duplicates', 'ATAC_Q30_bases_in_barcode', 'ATAC_Q30_bases_in_read_1', 'ATAC_Q30_bases_in_read_2', 'ATAC_Q30_bases_in_sample_index_i1', 'ATAC_Sequenced_read_pairs', 'ATAC_TSS_enrichment_score', 'ATAC_Unmapped_read_pairs', 'ATAC_Valid_barcodes', 'Number of mapped reads', 'Number of unmapped reads', 'Number of multimapped reads', 'Number of reads', 'Number of UMIs', 'Genes detected', 'Doublet score', 'Fraction mitochondrial UMIs', 'Used in analysis', 'Class confidence', 'Class', 'Subclass confidence', 'Subclass', 'Supertype confidence', 'Supertype (non-expanded)', 'Supertype', 'Continuous Pseudo-progression Score', 'Severely Affected Donor'
    var: 'gene_ids'
    uns: 'APOE4 Status_colors', 'Braak_colors', 'CERAD score_colors', 'Cognitive Status_colors', 'Great Apes Metadata', 'Highest Lewy Body Disease_colors', 'LATE_colors', 'Overall AD neuropathological Change_colors', 'Sex_colors', 'Subclass_colors', 'Supertype_colors', 'Thal_colors', 'UW Clinical Metadata', 'X_normalization', 'batch_condition', 'default_embedding', 'neighbors', 'title', 'umap'
    obsm: 'X_scVI', 'X_umap'
    layers: 'UMIs'
    obsp: 'connectivities', 'distances'
[6]:
sc.pl.embedding(adata,
            basis='X_umap',
           color=['Subclass'],
           palette=piaso.pl.color.d_color3,
           legend_fontoutline=2,
           legend_fontweight=5,
           cmap='Spectral_r',
           ncols=3,
           size=10,
           frameon=False)
../_images/notebooks_67_SCALAR_tutorial_SEA-AD-Updated_12_0.png
[7]:
sc.pl.embedding(adata,
    basis='X_umap',
    color=['Subclass'],
    palette=piaso.pl.color.d_color3,
    legend_fontoutline=2,
    legend_fontsize=7,
    legend_fontweight=5,
    legend_loc='on data',
    cmap='Spectral_r',
    ncols=3,
    size=10,
    frameon=False)
../_images/notebooks_67_SCALAR_tutorial_SEA-AD-Updated_13_0.png

Run COSG#

[8]:
import cosg
[9]:
adata.X.data
[9]:
array([0.8813792 , 2.510722  , 0.8813792 , ..., 0.37347588, 0.37347588,
       1.1829159 ], shape=(110359029,), dtype=float32)
[10]:
%%time
groupby='Subclass'
cosg.cosg(adata,
    key_added='cosg',
    # use_raw=False, layer='log1p', ## e.g., if you want to use the log1p layer in adata
    mu=100,
    expressed_pct=0.05,
    remove_lowly_expressed=True,
    n_genes_user=adata.n_vars, ### Use all the genes, to enable the calculation of transformed COSG scores
    # n_genes_user=100,
    groupby=groupby,
    return_by_group=True,
    verbosity=1
)
Finished identifying marker genes by COSG, and the results are in adata.uns['cosg'].
CPU times: user 6.62 s, sys: 1.08 s, total: 7.69 s
Wall time: 7.72 s
[11]:
cosg_scores=cosg.indexByGene(
    adata.uns['cosg']['COSG'],
    # gene_key="names", score_key="scores",
    set_nan_to_zero=True,
    convert_negative_one_to_zero=True
)
[12]:
cosg_scores=cosg.iqrLogNormalize(cosg_scores)
[13]:
cosg_scores
[13]:
Lamp5 Lhx6 Lamp5 Pax6 Sncg Vip Sst Chodl Sst Pvalb Chandelier L2/3 IT ... L6 CT L6b L6 IT Car3 L5/6 NP Astrocyte OPC Oligodendrocyte Endothelial VLMC Microglia-PVM
SFTA3 9.777716 0.00000 0.000000 0.000000 0.0 0.000000 0.0 0.0 0.000000 0.000000 ... 0.000000 0.000000 0.000000 0.000000 0.000000 0.0 0.0 0.0 0.0 0.0
NKX2-1 9.543856 0.00000 0.000000 0.000000 0.0 0.000000 0.0 0.0 0.644213 0.000000 ... 0.000000 0.000000 0.000000 0.000000 0.000000 0.0 0.0 0.0 0.0 0.0
LINC01344 7.395006 2.06908 0.060524 0.000000 0.0 0.006987 0.0 0.0 0.000000 0.000000 ... 0.000000 0.000000 0.000000 0.000000 0.022696 0.0 0.0 0.0 0.0 0.0
AL355482.1 6.719415 0.00000 0.000000 0.000000 0.0 0.000000 0.0 0.0 0.000000 0.000000 ... 0.000000 0.000000 0.000000 0.000000 0.000000 0.0 0.0 0.0 0.0 0.0
HCRTR2 6.574552 0.00000 2.462423 0.875931 0.0 0.007577 0.0 0.0 0.000000 0.018037 ... 1.399146 2.520505 0.053144 0.050968 0.000000 0.0 0.0 0.0 0.0 0.0
... ... ... ... ... ... ... ... ... ... ... ... ... ... ... ... ... ... ... ... ... ...
AC005104.1 0.000000 0.00000 0.000000 0.000000 0.0 0.000000 0.0 0.0 0.000000 0.000000 ... 0.000000 0.000000 0.000000 0.000000 0.000000 0.0 0.0 0.0 0.0 0.0
AC104809.2 0.000000 0.00000 0.000000 0.000000 0.0 0.000000 0.0 0.0 0.000000 0.000000 ... 0.000000 0.000000 0.000000 0.000000 0.000000 0.0 0.0 0.0 0.0 0.0
AC007483.1 0.000000 0.00000 0.000000 0.000000 0.0 0.000000 0.0 0.0 0.000000 0.000000 ... 0.000000 0.000000 0.000000 0.000000 0.000000 0.0 0.0 0.0 0.0 0.0
AC018359.1 0.000000 0.00000 0.000000 0.000000 0.0 0.000000 0.0 0.0 0.000000 0.000000 ... 0.000000 0.000000 0.000000 0.000000 0.000000 0.0 0.0 0.0 0.0 0.0
AQP12A 0.000000 0.00000 0.000000 0.000000 0.0 0.000000 0.0 0.0 0.000000 0.000000 ... 0.000000 0.000000 0.000000 0.000000 0.000000 0.0 0.0 0.0 0.0 0.0

36601 rows × 24 columns

Load CellChat DB#

The prepared cellchatDB v2 files could be downloaded from https://drive.google.com/drive/folders/1cfj4IZxl5svnG4RO–Fcr2x-bmNokmQN?usp=sharing. The CellChatDB v2 is from jinworks/CellChat.

[14]:
### Load the mouse version
# cellchatdb=pd.read_csv('/n/data1/hms/neurobio/fishell/mindai/Data/single-cell/Fezf2KO/LigandReceptorList/mouse_lr_database_CellChatDB_formatted_v2.csv')
### Load the human version
cellchatdb=pd.read_csv('/n/data1/hms/neurobio/fishell/mindai/Data/single-cell/Fezf2KO/LigandReceptorList/human_lr_database_CellChatDB_formatted_v2.csv')
[15]:
cellchatdb.head()
[15]:
interaction_name pathway_name ligand receptor agonist antagonist co_A_receptor co_I_receptor evidence annotation ... receptor.symbol receptor.family receptor.location receptor.keyword receptor.surfaceome_main receptor.surfaceome_sub receptor.adhesome receptor.secreted_type receptor.transmembrane version
0 TGFB1_TGFBR1_TGFBR2 TGFb TGFB1 TGFBR2 TGFb agonist TGFb antagonist NaN TGFb inhibition receptor KEGG: hsa04350 Secreted Signaling ... TGFBR2, TGFBR1 Protein kinase superfamily, TKL Ser/Thr protei... Cell membrane, Secreted, Membrane raft, Cell s... Membrane, Secreted, Disulfide bond, Kinase, Tr... Receptors Act.TGFB;Kinase NaN NaN True CellChatDB v1
1 TGFB1_TGFBR1_TGFBR2 TGFb TGFB1 TGFBR1 TGFb agonist TGFb antagonist NaN TGFb inhibition receptor KEGG: hsa04350 Secreted Signaling ... TGFBR2, TGFBR1 Protein kinase superfamily, TKL Ser/Thr protei... Cell membrane, Secreted, Membrane raft, Cell s... Membrane, Secreted, Disulfide bond, Kinase, Tr... Receptors Act.TGFB;Kinase NaN NaN True CellChatDB v1
2 TGFB2_TGFBR1_TGFBR2 TGFb TGFB2 TGFBR2 TGFb agonist TGFb antagonist NaN TGFb inhibition receptor KEGG: hsa04350 Secreted Signaling ... TGFBR2, TGFBR1 Protein kinase superfamily, TKL Ser/Thr protei... Cell membrane, Secreted, Membrane raft, Cell s... Membrane, Secreted, Disulfide bond, Kinase, Tr... Receptors Act.TGFB;Kinase NaN NaN True CellChatDB v1
3 TGFB2_TGFBR1_TGFBR2 TGFb TGFB2 TGFBR1 TGFb agonist TGFb antagonist NaN TGFb inhibition receptor KEGG: hsa04350 Secreted Signaling ... TGFBR2, TGFBR1 Protein kinase superfamily, TKL Ser/Thr protei... Cell membrane, Secreted, Membrane raft, Cell s... Membrane, Secreted, Disulfide bond, Kinase, Tr... Receptors Act.TGFB;Kinase NaN NaN True CellChatDB v1
4 TGFB3_TGFBR1_TGFBR2 TGFb TGFB3 TGFBR2 TGFb agonist TGFb antagonist NaN TGFb inhibition receptor KEGG: hsa04350 Secreted Signaling ... TGFBR2, TGFBR1 Protein kinase superfamily, TKL Ser/Thr protei... Cell membrane, Secreted, Membrane raft, Cell s... Membrane, Secreted, Disulfide bond, Kinase, Tr... Receptors Act.TGFB;Kinase NaN NaN True CellChatDB v1

5 rows × 28 columns

[16]:
pd.Series(cellchatdb['annotation']).value_counts().head(30)
[16]:
annotation
Secreted Signaling       1211
Non-protein Signaling     749
ECM-Receptor              515
Cell-Cell Contact         476
Name: count, dtype: int64
[17]:
pd.Series(cellchatdb['pathway_name']).value_counts().head(30)
[17]:
pathway_name
Glutamate        222
COLLAGEN         221
WNT              192
LAMININ          165
GABA-A           108
5-HT              85
CCL               66
FGF               60
Ach               58
BMP               57
MHC-I             51
THBS              40
EPHA              36
TENASCIN          36
SEMA3             35
PARs              35
IFN-I             34
CXCL              33
NRXN              32
SLURP             32
ncWNT             31
Adrenaline        27
ADGRL             25
RA                24
NOTCH             24
ANGPTL            20
Adenosine         20
Dopamine          20
Prostaglandin     20
IL1               20
Name: count, dtype: int64
[18]:
# # cellchatdb=cellchatdb.loc[:,['ligand', 'receptor', 'pathway_name']].copy()
cellchatdb=cellchatdb.loc[:,['ligand', 'receptor', 'annotation']].copy()

Run SCALAR#

Here we use the cellchatDB as the database of ligand-receptor interactions to run SCALAR:

[19]:
%%time
specific_interactions_cellchat = piaso.tl.runSCALAR(
    adata=adata,
    specificity_matrix=cosg_scores,
    lr_pairs=cellchatdb,
    ligand_col = 'ligand',
    receptor_col = 'receptor',
    annotation_col='annotation',
    sender_cell_types=list(adata.obs['Subclass'].cat.categories.values),
    receiver_cell_types=list(adata.obs['Subclass'].cat.categories.values),
    n_permutations=1000,
    n_nearest_neighbors=30,
    chunk_size=500000,
    random_seed=42
)
--- Step 1: Validating inputs and filtering LR pairs ---
Filtered out 14 LR pairs that were not found in both the AnnData object and the specificity matrix.

--- Step 2: Calculating all observed interaction scores ---
Found 1691712 potential interactions to test.

--- Step 3: Preparing background gene set for permutation testing ---
Preparing background gene set by calculating mean and variance for all genes...
Building KDTree to find 30 nearest neighbors for each gene...
Finished preparing background gene set.

--- Step 4: Calculating p-values via 1000 permutations (vectorized) ---
Processing cell type pairs: 100%|██████████| 576/576 [00:55<00:00, 10.33it/s]

--- Step 5: Applying FDR (Benjamini/Hochberg) correction per cell-type pair ---
FDR Correction: 100%|██████████| 576/576 [00:01<00:00, 325.56it/s]

Analysis complete.
CPU times: user 1min 3s, sys: 1.68 s, total: 1min 4s
Wall time: 1min 5s
[20]:
specific_interactions_cellchat
[20]:
ligand receptor annotation sender receiver interaction_score p_value p_value_fdr nlog10_p_value_fdr
0 NPY NPY2R Secreted Signaling Sst Chodl Sst Chodl 105.240697 0.000999 0.015984 1.796315
1 DLL4 NOTCH4 Cell-Cell Contact Endothelial Endothelial 87.273885 0.000999 0.013674 1.864110
2 DLL4 NOTCH3 Cell-Cell Contact Endothelial VLMC 84.300864 0.000999 0.014956 1.825171
3 CSF3 CSF3R Secreted Signaling Endothelial Microglia-PVM 84.206412 0.012987 0.112013 0.950732
4 COL1A2 SDC4 ECM-Receptor VLMC Astrocyte 82.803029 0.000999 0.010209 1.991037
... ... ... ... ... ... ... ... ... ...
1691707 COL9A1 ITGA10 ECM-Receptor Sncg L5/6 NP 0.000000 1.000000 1.000000 0.000000
1691708 COL9A1 ITGA10 ECM-Receptor Sncg Astrocyte 0.000000 1.000000 1.000000 0.000000
1691709 COL9A1 ITGA10 ECM-Receptor Sncg OPC 0.000000 1.000000 1.000000 0.000000
1691710 COL9A1 ITGA10 ECM-Receptor Sncg Oligodendrocyte 0.000000 1.000000 1.000000 0.000000
1691711 COL9A1 ITGA10 ECM-Receptor Vip Astrocyte 0.000000 1.000000 1.000000 0.000000

1691712 rows × 9 columns

[21]:
pd.Series(specific_interactions_cellchat['nlog10_p_value_fdr']>-np.log10(0.2)).value_counts()
[21]:
nlog10_p_value_fdr
False    1655922
True       35790
Name: count, dtype: int64
[22]:
pd.Series(specific_interactions_cellchat['nlog10_p_value_fdr']>-np.log10(0.05)).value_counts()
[22]:
nlog10_p_value_fdr
False    1677660
True       14052
Name: count, dtype: int64
[23]:
specific_interactions_cellchat['CellTypeXCellType']=piaso.pp.getCrossCategories(specific_interactions_cellchat, 'sender', 'receiver')
specific_interactions_cellchat['CellTypeXCellType']=specific_interactions_cellchat['CellTypeXCellType'].astype('str')
specific_interactions_cellchat['ligandXreceptor']=piaso.pp.getCrossCategories(specific_interactions_cellchat, 'ligand', 'receptor', delimiter='-->')
specific_interactions_cellchat['ligandXreceptor']=specific_interactions_cellchat['ligandXreceptor'].astype('str')
[24]:
specific_interactions_cellchat.head()
[24]:
ligand receptor annotation sender receiver interaction_score p_value p_value_fdr nlog10_p_value_fdr CellTypeXCellType ligandXreceptor
0 NPY NPY2R Secreted Signaling Sst Chodl Sst Chodl 105.240697 0.000999 0.015984 1.796315 Sst Chodl@Sst Chodl NPY-->NPY2R
1 DLL4 NOTCH4 Cell-Cell Contact Endothelial Endothelial 87.273885 0.000999 0.013674 1.864110 Endothelial@Endothelial DLL4-->NOTCH4
2 DLL4 NOTCH3 Cell-Cell Contact Endothelial VLMC 84.300864 0.000999 0.014956 1.825171 Endothelial@VLMC DLL4-->NOTCH3
3 CSF3 CSF3R Secreted Signaling Endothelial Microglia-PVM 84.206412 0.012987 0.112013 0.950732 Endothelial@Microglia-PVM CSF3-->CSF3R
4 COL1A2 SDC4 ECM-Receptor VLMC Astrocyte 82.803029 0.000999 0.010209 1.991037 VLMC@Astrocyte COL1A2-->SDC4
[25]:
len(specific_interactions_cellchat['CellTypeXCellType'].unique())
[25]:
576
[26]:
adata.obs['Subclass'].cat.categories
[26]:
Index(['Lamp5 Lhx6', 'Lamp5', 'Pax6', 'Sncg', 'Vip', 'Sst Chodl', 'Sst',
       'Pvalb', 'Chandelier', 'L2/3 IT', 'L6 IT', 'L4 IT', 'L5 IT', 'L5 ET',
       'L6 CT', 'L6b', 'L6 IT Car3', 'L5/6 NP', 'Astrocyte', 'OPC',
       'Oligodendrocyte', 'Endothelial', 'VLMC', 'Microglia-PVM'],
      dtype='object')
[27]:
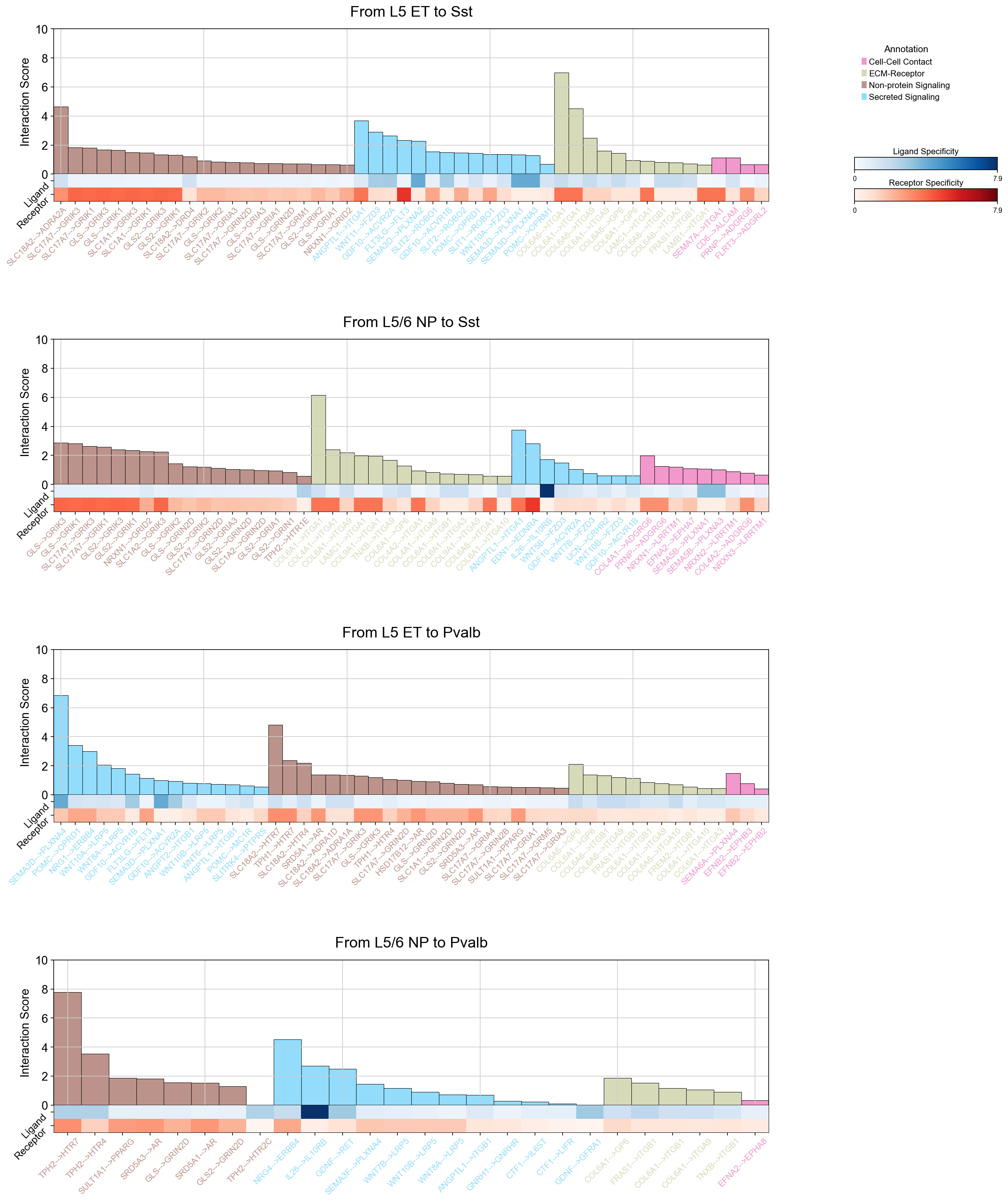
si_fdr=specific_interactions_cellchat[specific_interactions_cellchat['nlog10_p_value_fdr']>-np.log10(0.5)].copy()

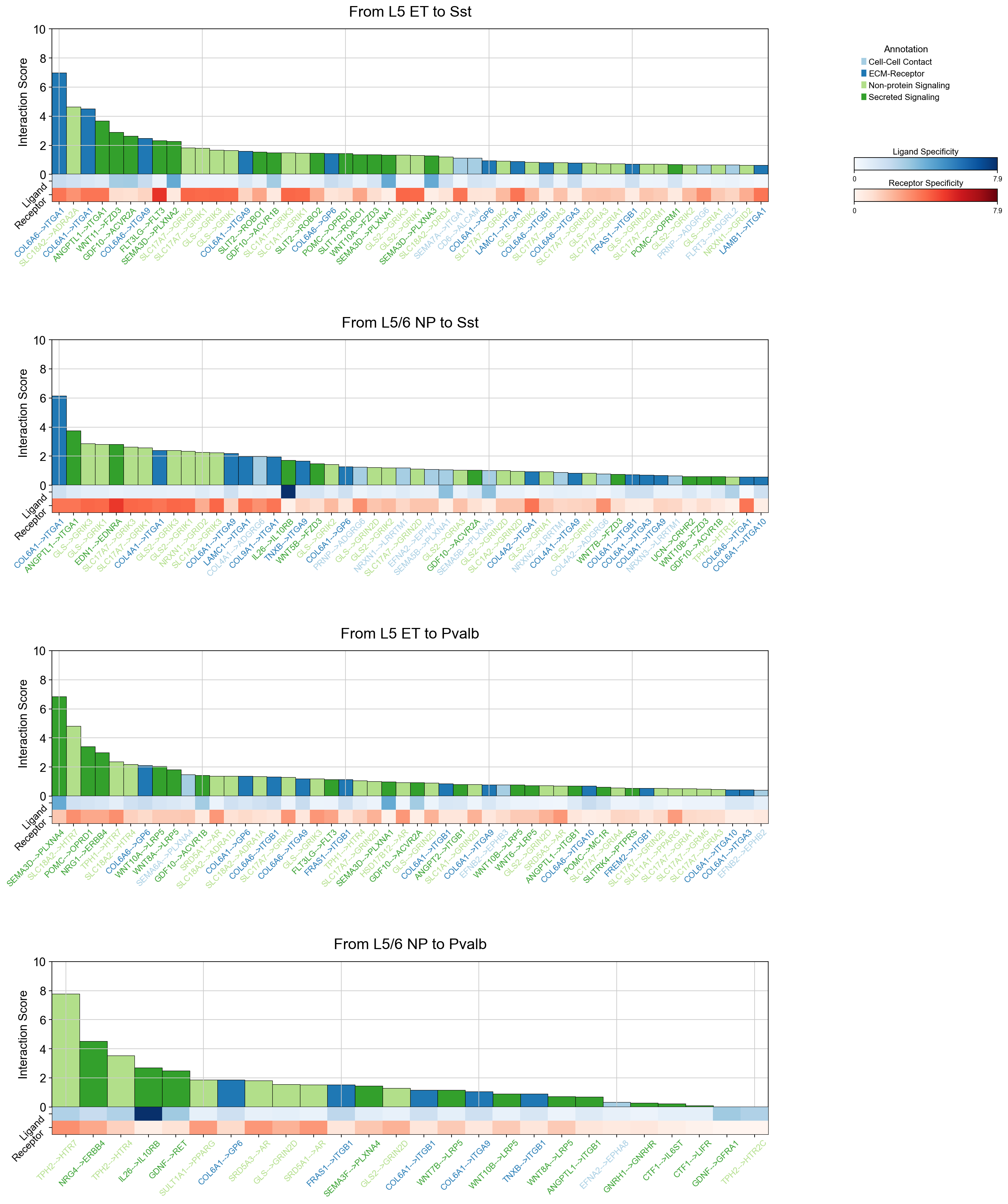
Plot CCI results:#

[28]:
piaso.pl.plotLigandReceptorInteraction(
    interactions_df=si_fdr,
    specificity_df=cosg_scores,
    cell_type_pairs=['L5 ET@Sst', 'L5/6 NP@Sst', 'L5 ET@Pvalb', 'L5/6 NP@Pvalb',],
    ligand_receptor_sep='-->',
    top_n=50,
    y_max=10,
    heatmap_cmap='Purples',
    shared_legend=True
)
../_images/notebooks_67_SCALAR_tutorial_SEA-AD-Updated_40_0.png
[29]:
# specific_interactions_subset=specific_interactions.loc[
#     specific_interactions['annotation'].isin(['Secreted Signaling'])
# ]

specific_interactions_cellchat_subset=specific_interactions_cellchat.loc[
    specific_interactions_cellchat['annotation'].isin(['ECM-Receptor'])
]


# specific_interactions_subset=specific_interactions.loc[
#     specific_interactions['annotation'].isin(['Cell-Cell Contact'])
# ]


# specific_interactions_cellchat_subset=specific_interactions_cellchat.loc[
#     specific_interactions_cellchat['annotation'].isin(['Non-protein Signaling'])
# ]
[30]:
piaso.pl.plotLigandReceptorInteraction(
    interactions_df=specific_interactions_cellchat_subset,
    specificity_df=cosg_scores,
    cell_type_pairs=['L5 ET@Sst', 'L5/6 NP@Sst', 'L5 ET@Pvalb', 'L5/6 NP@Pvalb',],
    ligand_receptor_sep='-->',
    top_n=50,
    y_max=10,
    heatmap_cmap='Purples',
    fig_height_per_pair=6,
    fig_width=20,
    shared_legend=True
)
../_images/notebooks_67_SCALAR_tutorial_SEA-AD-Updated_42_0.png
[31]:
piaso.pl.plotLigandReceptorInteraction(
    interactions_df=si_fdr,
    specificity_df=cosg_scores,
    cell_type_pairs=['L5 ET@Sst', 'L5/6 NP@Sst', 'L5 ET@Pvalb', 'L5/6 NP@Pvalb',],
    ligand_receptor_sep='-->',
    top_n=50,
    y_max=10,
    heatmap_cmap='Purples',
    heatmap_cmap_ligand='Blues',
    heatmap_cmap_receptor='Reds',
    shared_legend=True,
    vertical_layout=False,
    fig_height_per_pair=6,
    fig_width=20,
    color_labels_by_annotation=True,

)
../_images/notebooks_67_SCALAR_tutorial_SEA-AD-Updated_43_0.png
[32]:
piaso.pl.plotLigandReceptorInteraction(
    interactions_df=si_fdr,
    specificity_df=cosg_scores,
    cell_type_pairs=['L5 ET@Sst', 'L5/6 NP@Sst', 'L5 ET@Pvalb', 'L5/6 NP@Pvalb',],
    # cell_type_pairs=['L5 NP@SST-Chrna2'],
    ligand_receptor_sep='-->',
    top_n=50,
    y_max=10,
    # heatmap_cmap='Purples',
    heatmap_cmap_ligand='Purples',
    heatmap_cmap_receptor='Reds',
    shared_legend=True,
    vertical_layout=True,
    fig_height_per_pair=6,
    fig_width=12,
    color_labels_by_annotation=True
)
../_images/notebooks_67_SCALAR_tutorial_SEA-AD-Updated_44_0.png
[33]:
piaso.pl.plotLigandReceptorInteraction(
    interactions_df=si_fdr,
    specificity_df=cosg_scores,
    cell_type_pairs=['L5 ET@Sst', 'L5/6 NP@Sst', 'L5 ET@Pvalb', 'L5/6 NP@Pvalb',],
    cell_type_sep='@',
    ligand_receptor_sep='-->',
    top_n=50,
    y_max=10,
    # heatmap_cmap='Purples',
    heatmap_cmap_ligand='Blues',
    heatmap_cmap_receptor='Reds',
    barplot_palette=piaso.pl.color.d_color10,
    shared_legend=True,
    vertical_layout=False,
    fig_height_per_pair=6,
    fig_width=20,
    color_labels_by_annotation=True,
    sort_by_category=True,
    category_agg_method='sum'
)
../_images/notebooks_67_SCALAR_tutorial_SEA-AD-Updated_45_0.png
[34]:
piaso.pl.plotLigandReceptorInteraction(
    interactions_df=si_fdr,
    specificity_df=cosg_scores,
    cell_type_pairs=['L5 ET@Sst', 'L5/6 NP@Sst', 'L5 ET@Pvalb', 'L5/6 NP@Pvalb',],
    # col_cell_type_pair='Category',
    # col_annotation= 'ConfirmedCategories',
    cell_type_sep='@',
    ligand_receptor_sep='-->',
    top_n=50,
    y_max=10,
    # heatmap_cmap='Purples',
    heatmap_cmap_ligand='Blues',
    heatmap_cmap_receptor='Reds',
    barplot_palette=piaso.pl.color.d_color10,
    shared_legend=True,
    vertical_layout=True,
    fig_height_per_pair=6,
    fig_width=12,
    color_labels_by_annotation=True,
    sort_by_category=True,
    # category_agg_method='sum'
)
../_images/notebooks_67_SCALAR_tutorial_SEA-AD-Updated_46_0.png

Lollipop plot#

[35]:
si_fdr.head()
[35]:
ligand receptor annotation sender receiver interaction_score p_value p_value_fdr nlog10_p_value_fdr CellTypeXCellType ligandXreceptor
0 NPY NPY2R Secreted Signaling Sst Chodl Sst Chodl 105.240697 0.000999 0.015984 1.796315 Sst Chodl@Sst Chodl NPY-->NPY2R
1 DLL4 NOTCH4 Cell-Cell Contact Endothelial Endothelial 87.273885 0.000999 0.013674 1.864110 Endothelial@Endothelial DLL4-->NOTCH4
2 DLL4 NOTCH3 Cell-Cell Contact Endothelial VLMC 84.300864 0.000999 0.014956 1.825171 Endothelial@VLMC DLL4-->NOTCH3
3 CSF3 CSF3R Secreted Signaling Endothelial Microglia-PVM 84.206412 0.012987 0.112013 0.950732 Endothelial@Microglia-PVM CSF3-->CSF3R
4 COL1A2 SDC4 ECM-Receptor VLMC Astrocyte 82.803029 0.000999 0.010209 1.991037 VLMC@Astrocyte COL1A2-->SDC4
[36]:
adata.obs['Subclass'].cat.categories
[36]:
Index(['Lamp5 Lhx6', 'Lamp5', 'Pax6', 'Sncg', 'Vip', 'Sst Chodl', 'Sst',
       'Pvalb', 'Chandelier', 'L2/3 IT', 'L6 IT', 'L4 IT', 'L5 IT', 'L5 ET',
       'L6 CT', 'L6b', 'L6 IT Car3', 'L5/6 NP', 'Astrocyte', 'OPC',
       'Oligodendrocyte', 'Endothelial', 'VLMC', 'Microglia-PVM'],
      dtype='object')
[37]:
piaso.pl.plotLigandReceptorLollipop(
    si_fdr,
    specificity_df=cosg_scores,
    cell_type_pairs=[
                     'Microglia-PVM@L6 CT'
                    ],
    top_n=50,
    col_cell_type_pair='CellTypeXCellType', ## Specify the cell type conlumn
    # col_annotation= 'annotation',
    sort_by_category=True,
    fig_height_per_pair=4,
    fig_width=16,
    vertical_layout=False,
    background_colors=True,
    # show_grid=False,
    logfc_range=1, ### To control the log fold chaneg range
    base_circle_size=30,
    # size_dramatic_level=1,
    color_labels_by_annotation=True,
    # score_range_max=8, score_range_min=-8, ### To control the y-axis ranges

)
Warning: Column 'avg_log2FC' not found. Using default circle size.
Using external specificity dataframe with 36601 genes and 24 cell types.
../_images/notebooks_67_SCALAR_tutorial_SEA-AD-Updated_50_1.png
[38]:
piaso.pl.plotLigandReceptorLollipop(
    si_fdr,
    specificity_df=cosg_scores,
    cell_type_pairs=['L5 ET@Sst', 'L5/6 NP@Sst', 'L5 ET@Pvalb', 'L5/6 NP@Pvalb',
                    ],
    top_n=50,
    col_cell_type_pair='CellTypeXCellType', ## Specify the cell type conlumn
    # col_annotation= 'annotation',
    sort_by_category=True,
    fig_height_per_pair=4,
    fig_width=16,
    vertical_layout=False,
    background_colors=True,
    # show_grid=False,
    logfc_range=1, ### To control the log fold chaneg range
    base_circle_size=30,
    # size_dramatic_level=1,
    color_labels_by_annotation=True,
    # score_range_max=8, score_range_min=-8, ### To control the y-axis ranges

)
Warning: Column 'avg_log2FC' not found. Using default circle size.
Using external specificity dataframe with 36601 genes and 24 cell types.
../_images/notebooks_67_SCALAR_tutorial_SEA-AD-Updated_51_1.png
[39]:
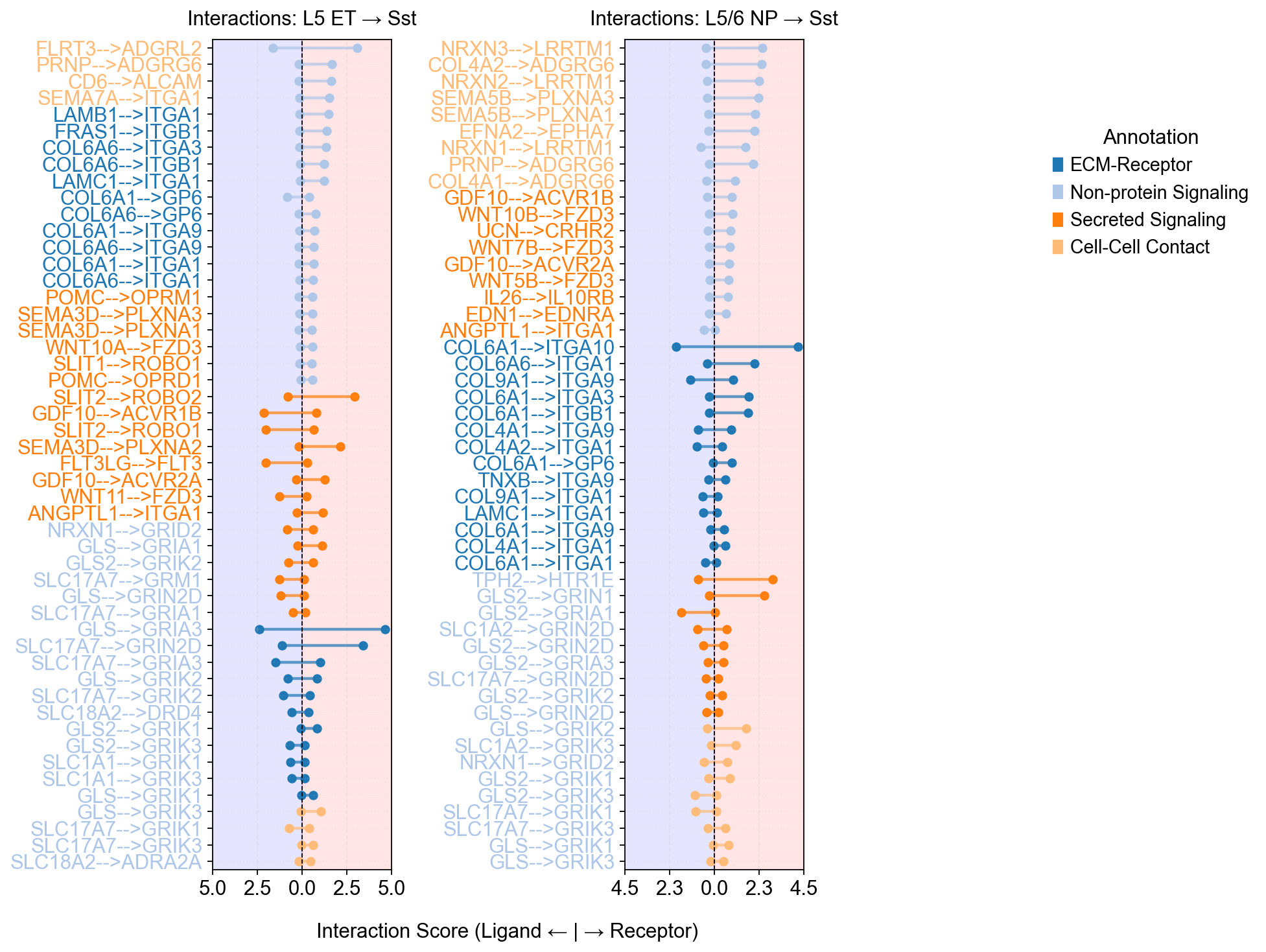
piaso.pl.plotLigandReceptorLollipop(
    si_fdr,
    specificity_df=cosg_scores,
    cell_type_pairs=['L5 ET@Sst', 'L5/6 NP@Sst', ],
    top_n=50,
    col_cell_type_pair='CellTypeXCellType', ## Specify the cell type conlumn
    # col_annotation= 'annotation',
    sort_by_category=True,
    fig_height_per_pair=10,
    fig_width=5,
    vertical_layout=True,
    background_colors=True,
    # show_grid=False,
    logfc_range=1, ### To control the log fold chaneg range
    base_circle_size=30,
    # size_dramatic_level=1,
    color_labels_by_annotation=True,
    # score_range_max=8, score_range_min=-8, ### To control the y-axis ranges

)
Warning: Column 'avg_log2FC' not found. Using default circle size.
Using external specificity dataframe with 36601 genes and 24 cell types.
../_images/notebooks_67_SCALAR_tutorial_SEA-AD-Updated_52_1.png